BT C1 - BT C1: Tổng hợp hữu cơ

BT C1 - BT C1: Tổng hợp hữu cơ - Document Preview

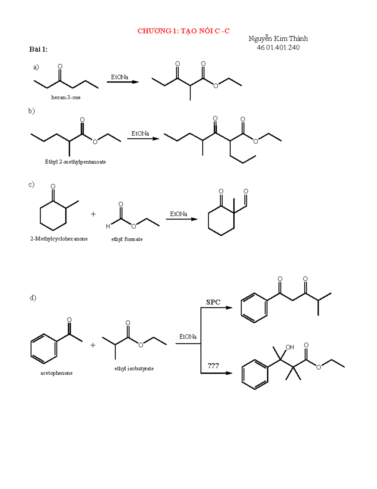
CHƯƠNG 1: TẠO NỐI C -C Bài 1: O hexan-3-one EtONa a) O O O b) O O Ethyl 2-methylpentanoate EtONa O O O O 2-Methylcyclohexanone O ethyl formate H O O O EtONa c)...

Document Information

  • Document Title: BT C1 - BT C1: Tổng hợp hữu cơ
  • Source Platform: Studocu.net
  • PDF Availability: Direct link not detected; placeholder PDF will be provided
  • Document Type: Academic Document / Study Material

Important Notice

Please ensure you have the legal right to download and use this document. Respect copyright laws and use downloaded materials responsibly for educational purposes only. DownStudocu is not affiliated with Studocu.net.