Prova 15 Maio 2019, questões e respostas

Prova 15 Maio 2019, questões e respostas - Document Preview

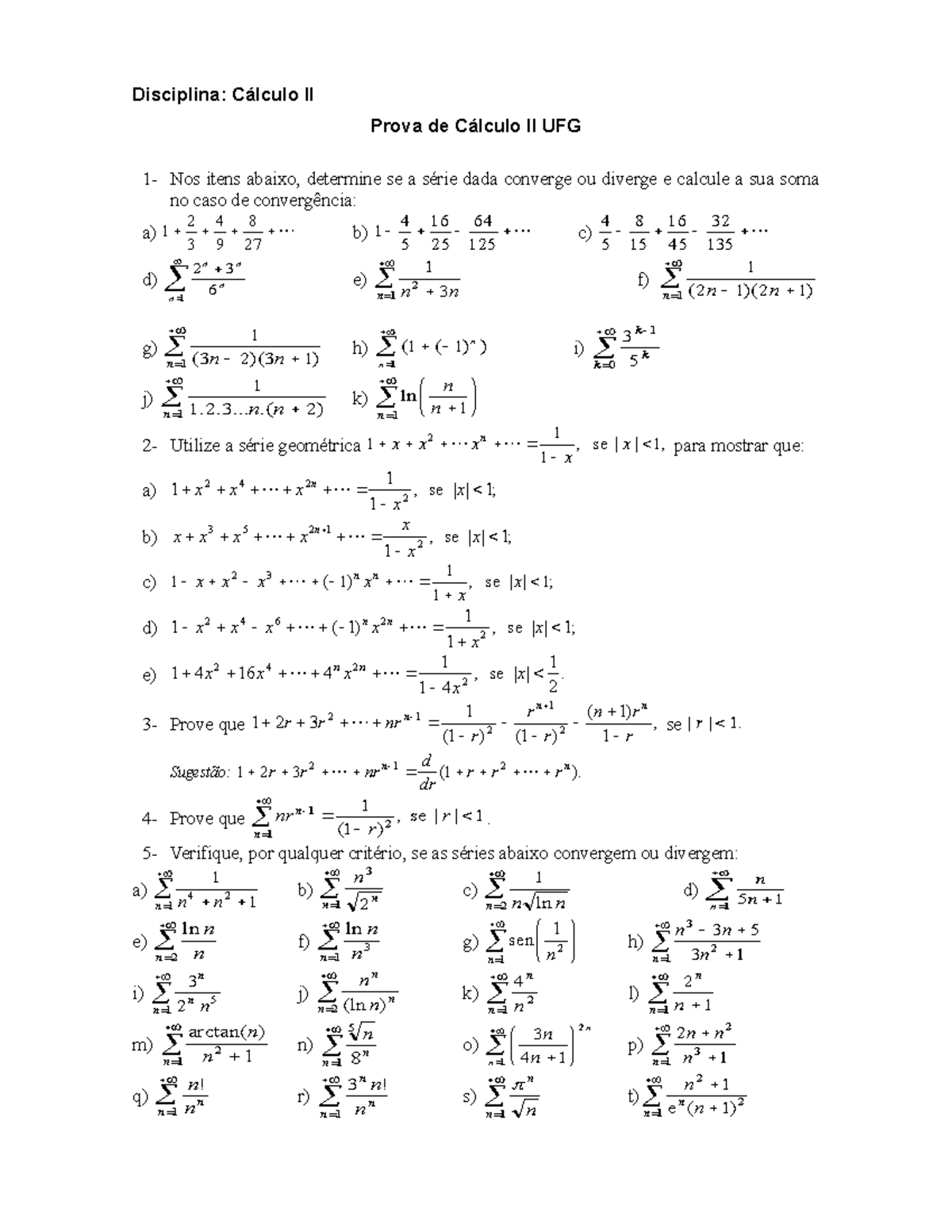
Prova P5 da disciplina de cálculo 2, com questões e gabarito

Document Information

  • Document Title: Prova 15 Maio 2019, questões e respostas
  • Source Platform: Studocu.net
  • PDF Availability: Direct link not detected; placeholder PDF will be provided
  • Document Type: Academic Document / Study Material

Important Notice

Please ensure you have the legal right to download and use this document. Respect copyright laws and use downloaded materials responsibly for educational purposes only. DownStudocu is not affiliated with Studocu.net.