Texto Argumentativo sobre Redes Sociales y Salud Mental en Jóvenes
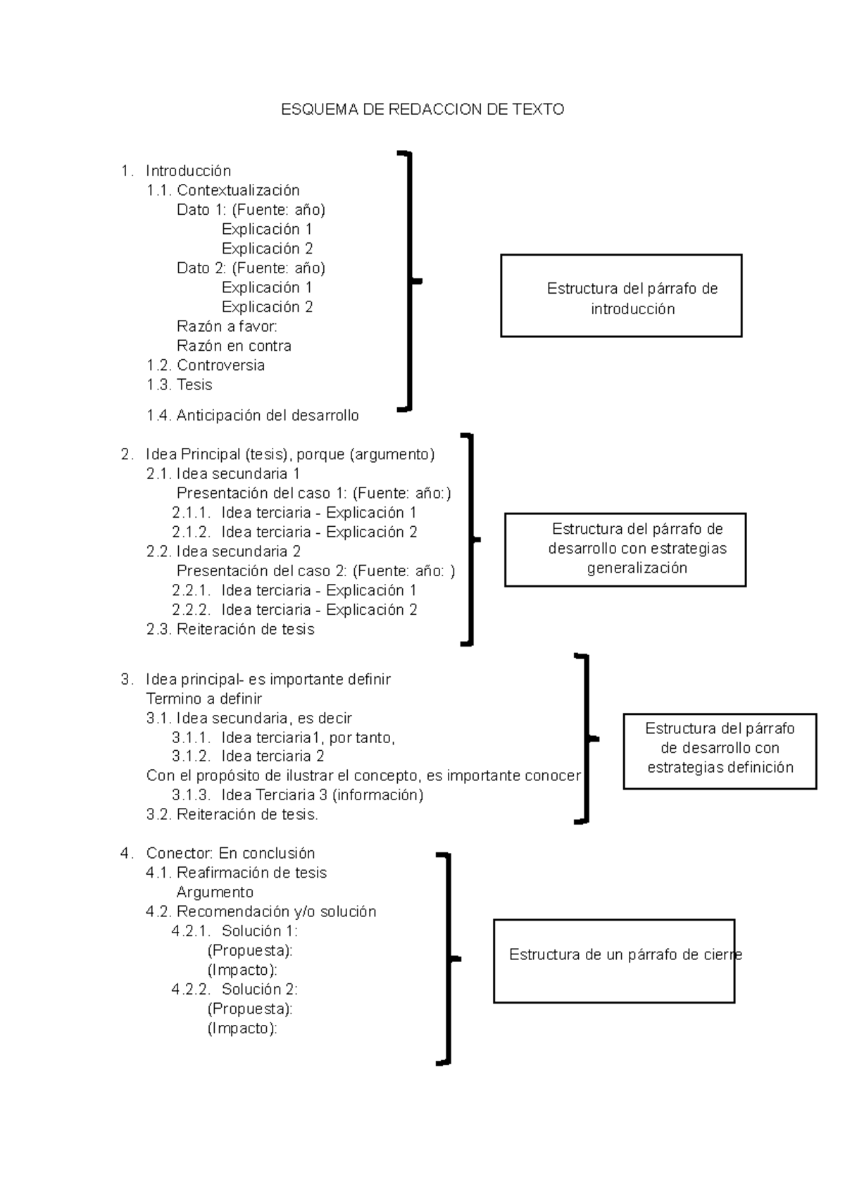
ESQUEMA DE REDACCION DE TEXTO Introducción Contextualización Dato 1: (Fuente: año) Explicación 1 Explicación 2 Dato 2: (Fuente: año) Explicación 1 Explicación...
Document Information
- Document Title: Texto Argumentativo sobre Redes Sociales y Salud Mental en Jóvenes
- Source Platform: Studocu.net
- PDF Availability: Direct link not detected; placeholder PDF will be provided
- Document Type: Academic Document / Study Material
Important Notice
Please ensure you have the legal right to download and use this document. Respect copyright laws and use downloaded materials responsibly for educational purposes only. DownStudocu is not affiliated with Studocu.net.